興化粉體輸送,興化氣力輸送設備,興化氣力輸送系統,氣力輸送中的物料懸浮速度。
氣力輸送中,物料的懸浮速度的工藝設計中的一個重要物料性質參數。氣力輸送系統廠家帶大家一起了解下氣力輸送中物料的懸浮速度。

在含有顆粒和流體的垂直輸料管中,我們將能保持顆粒物料處于懸浮狀態的氣流最小速度稱之為懸浮速度。這里還有一個與懸浮速度值相等但方向相反的沉降速度,如果流體大于顆粒物料的懸浮速度或沉降速度,則向上運動,如果流體速度等于物料的懸浮速度或者沉降速度,則會處于水平擺動狀態,小于的話則是下降。不同的物料,懸浮速度大多都會有所差異,同種物料之間粒度大小不同,懸浮速度也會不同。
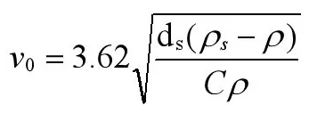
在實際計算中,懸浮速度與物料顆粒的直徑、密度、阻力系數以及空氣密度等有關。其理論計算公式如下:

其中,V0為懸浮速度,ds為顆粒直徑(m),ρs為物料密度(kg/m3),ρ為流體介質密度(kg/m3),C為物料摩擦阻力系數(C為雷諾數的函數)。
物料上升過程中,因為物料的懸浮速度由于物料與管壁、物料顆粒之間的碰撞、粘附,以及氣流速度分布等的關系,因此實際使物料懸浮且不斷上升所需要的氣流速度要比理論計算的大。對于粒度均勻的物料,實際氣流速度一般會取懸浮速度的1.5~2.5倍(物性好的取下限,物性差的取上限)。而對于粒度不均勻的,氣流速度可能比懸浮速度大數倍甚至幾十倍。

另外要一提的是,氣力輸送在水平管中,氣流速度產生的水平方向空氣動力分力對顆粒懸浮不起作用,此時使物料顆粒懸浮的主要是紊流氣流在垂直方向分速度產生的力、顆粒粒子上下的靜壓差以及氣流在不規則物料產生的垂直分力、物料彈跳等因素的作用。